选择您的地区和语言

非隔离DC-DC转换器模块DC-DC转换器的损耗计算

就DC-DC转换器使用的各元件的损耗计算方法进行说明。

DC-DC转换器的损耗计算

DC-DC转换器的损耗

DC-DC转换器的损耗中,影响较大的因素具体如下:

  1. 开关导通损耗
  2. 开关的开关损耗
  3. 线圈引起的损耗(铁损、铜损)

除此之外,还有FET的栅极电荷损耗、控制IC的动作损耗、电容器的ESR引起的固定损耗等。

开关元件的损耗

FET开关的损耗包括导通损耗(Pon)与开关损耗(Pr、Pf)。

形象图

开关元件的导通损耗

开关元件FET的导通损耗发生在FET导通时,具体算式如下:

计算公式 5
Rds(ON)
导通时漏源之间的电阻[Ohm]
Iout
负载电流[A]
D
占空比

如果使用Rds(ON)小的FET,导通损耗就小,但通常由于各代FET的Rds(ON)×Ciss(FET输入电容)固定,因此若 Rds(ON)变小,Ciss反而会增大,从而会影响到后述的开关损耗。
因此,应根据电源规格,选择具有理想特性的FET。

形象图 计算公式

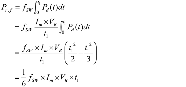
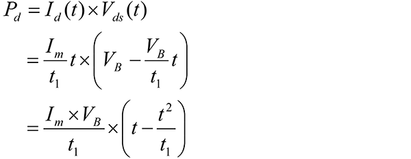
开关元件的开关损耗

假设电压和电流呈直线上升,可用以下算式简单地计算损耗。

计算公式
形象图
计算公式
形象图

线圈损耗

线圈的损耗包括绕线引起的铜损与芯材引起的铁损。

线圈损耗
铜损
绕线的直流电阻引起的直流铜损与趋肤效应增大的有效电阻引起的铜损。
铁损
主要包括磁滞损耗与涡流损耗。磁滞损耗相当于基于开关描绘B-H特性曲线时的面积部分。涡流损耗是指铁芯产生的涡流引起的损耗。

DC损耗(PLDCR)的产生则与负载电流的平方成正比。
低负载时电流较小,因此DC损耗也较小,而负载电流增加时,DC损耗也将大幅增加。

计算公式

另一方面,流过线圈的电流的AC成分取决于输入、输出电压和频率。
因此,即使负载电流发生变化,AC损耗量也不会出现较大的变化。
(另外,由于AC损耗的计算比较复杂,在此不做讲解)

因此,在低负载范围内AC损耗将起决定性作用,而在高负载范围内,DC损耗则起决定性作用。